Brillo de las estrellas: magnitudes de brillo en Pogson. Ecuación de Pogson
En el siglo XVIII William Herschel descubrió que las estrellas de primera magnitud son aproximadamente 100 veces más luminosas que las de sexta magnitud; y en el siglo XIX Norman Pogson tomó esta relación como exacta descubriendo la ecuación de Pogson tan importante en astronomía.
.
| magnitud | 1 | 2 | 3 | 4 | 5 | 6 |
| Luminosidad | 100 | 39´81 | 15´85 | 6´35 | 2´51 | 1 |
| Luminosidad | 102 | 101´6 | 101´2 | 100´8 | 100´4 | 100 |
Ecuación de Pogson:
De forma general puede escribirse de esta manera:

O bien, que es la más usual: m = m0 – 2´5 · log L
Como esta escala puede correrse hacia un lado o hacia el otro, para fijarla y que coincidieran con las usadas desde Hiparco se tomaron las magnitudes de Altair y Aldebarán como 1 (uno). Esta ecuación puede aplicarse a dos estrellas distintas:
m1 = m0 – 2´5 log L1
m2 = m0 – 2´5 log L2 de donde
Tomando fotos con una CCD, como las cuentas de los píxeles son proporcionales a los fotones que inciden en ellos, podemos sustituir en la ecuación de Pogson las luminosidades por las cuentas. Por ejemplo, si en una foto tenemos una estrella E1 cuyas cuentas son 20000 y sabemos que tiene una magnitud de 4´40, y otra estrella cuya magnitud no sabemos para cual la CCD cuenta es de 40000 cuentas, podemos usar la ecuación de Pogson:

También podemos usar la ecuación en una misma estrella a distintas distancias. No podemos acercar ni alejar la estrella, pero podemos calcular cómo se vería cualquier estrella a cualquier distancia; y de hecho esto es lo que hacemos para comparar el brillo de las estrellas. Colocamos teóricamente las estrellas a una distancia de 10 pc y con el brillo que tienen a esa distancia, la misma para todos, podemos comparar los brillos. El brillo con que vemos una estrella se llama magnitud aparente (m), porque depende de la distancia, y el brillo que vemos a 10pc se llama magnitud absoluta (M). 1 parsec (1pc) = 3´268 años luz (al) = 30´94·1012 Km Sirio en Canis Maior
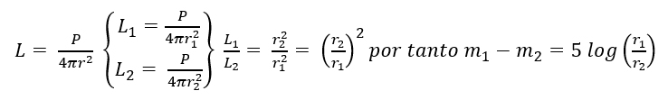
Sea una estrella con una potencia P que se ve con una luminosidad L1 a una distancia r1 y con una luminosidad L2 a una distancia r2

Ejemplo: Vega, que está a 26 al de distancia la vemos con una magnitud aparente de 0´03. Calcular su magnitud absoluta. (10pc=32´68al)

El Sol, que está a 149´6 · 106 Km, lo vemos con una magnitud aparente de -26´75. Si nos alejamos de él irá brillando cada vez menos hasta que dejemos de verlo. ¿A qué distancia dejaremos de ver el Sol?

















