Cómo se originan las estrellas a partir de las nebulosas. Gravitación, velocidad de escape y energía.
Las estrellas nacen en el seno de las nebulosas, que son extensas masas de gases, principalmente de hidrógeno atómico.
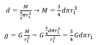
La gravitación en estas nebulosas podemos calcularla de igual manera que calculamos la gravitación en la Tierra:
donde M es la masa que se encuentra dentro de los límites de la superficie de Gauss y r es la distancia del punto del cual queremos calcular el valor de la gravedad al centro de masas.

En la Tierra, el centro de masas coincide con el centro de la Tierra, y la superficie de Gauss es una esfera centrada en el centro de masas.

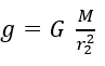
En los puntos exteriores como r2 la masa es constante e igual a la masa total de la Tierra M:

El valor máximo de la gravedad se encuentra en la superficie terrestre.
Hagamos el mismo cálculo con una nebulosa con una masa de trescientos mil millones de masas solares y un tamaño de doscientos cincuenta mil años luz:
M = 6 · 1041 Kg y R = 2´367 · 1021 m
En los bordes. Gravedad:

Características de las estrellas y planetas. Velocidad de escape
Velocidad de escape:

La velocidad de escape es demasiado alta y la nebulosa está condenada a contraerse, pero la gravedad es demasiado baja y la velocidad de la contracción es muy lenta. El cálculo dice que se contrae 2´66 cm/dia.
La densidad nebular no es uniforme, y allí donde se produzcan una acumulación de gas se inicia una retroacción positiva: una masa mayor produce mayor gravedad que atrae más masa que aumenta la gravedad y atrae más masa a mayor velocidad…etc. El proceso es acelerado y esa acumulación de gas está destinada a convertirse en una estrella.

Al principio la energía potencial se convierte en energía cinética y la velocidad de contracción va aumentando, pero llega un momento en que la densidad dificulta la contracción y los choques son frecuentes y violentos. La velocidad se pierde y laenergía se convierte en calor.

Si consideramos que inicialmente todas las moléculas están en el infinito con energía potencial cero, cuando la contracción forma una esfera de radio R se habrá perdido una energía potencial llamada energía de autogravitación cuyo valor es:

Los cálculos muestran que:
Sol: E = 2´32·1041 J
Júpiter: E = 2´02·1036 J
Tierra: E = 2´24·1032 J
Esta enegía de autogravitación se convierte en calor, y utilizando la lay de los gases perfectos podemos calcular la temperatura que alcanza la bola de gas condensado:

siendo n el número de moles y R la constante de los gases perfectos. R =1´987 cal/ºK mol, y n=6´023·1023 átomos (o moléculas), y para el hidrógeno atómico 1 mol =1g
Sol: T = 13´96·106 ºK
Júpiter: T = 128·103 ºK
Tierra: T = 4500 ºK
Cuando la temperatura de esta bola de gas alcanza temperaturas de millones de grados se encienden las reacciones nucleares y nace la estrella. La fusión del hidrógeno produce helio: 4 H He4

















